El diodo led es un componente presente en la mayoría de proyectos DIY de efectos. Este componente tiene polaridad, así que hay que conectarlo correctamente.
En la siguiente imagen, vemos cómo identificar los terminales, tanto en un esquema como físicamente:

La pata más larga es la positiva (A / ánodo), y la más corta es la negativa (K /cátodo). Si no podemos diferenciar la longitud de las patas, podemos fijarnos en la forma de la base del led. La parte curva es la positiva y la parte plana es la negativa.
El símbolo del diodo led también nos indica la polaridad. La parte superior del triángulo invertido es la positiva y la parte de la línea es la negativa.
Además, el diodo led debe llevar asociada una resistencia en serie para limitar la corriente que pase por él (sin la resistencia podría quemarse).
Cómo calcular la resistencia adecuada
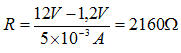
Podemos calcular la resistencia adecuada para el diodo led aplicando la Ley de Ohm:
R = resistencia limitadora
Vcc = tensión de alimentación
Vf = tensión típica de alimentación del diodo led
If = corriente típica del diodo led
Si tenemos una alimentación de 12V y queremos colocar un diodo led rojo con Vf = 1,2V y If = 5mA, la resistencia R será 2200Ω = 2,2kΩ


Hola me gustaría que publiquen como poder colocar de mejor manera los pedales